Special Lecture 1
Reinforcement Learning Td L Introduction 1 By Jeremy Zhang Towards Data Science
Live 1 Photometrics
Reinforcement Learning Part 6 Td L Q Learning By Dan Lee Ai Theory Practice Business Medium
Temporal Difference Td Learning By Baijayanta Roy Towards Data Science
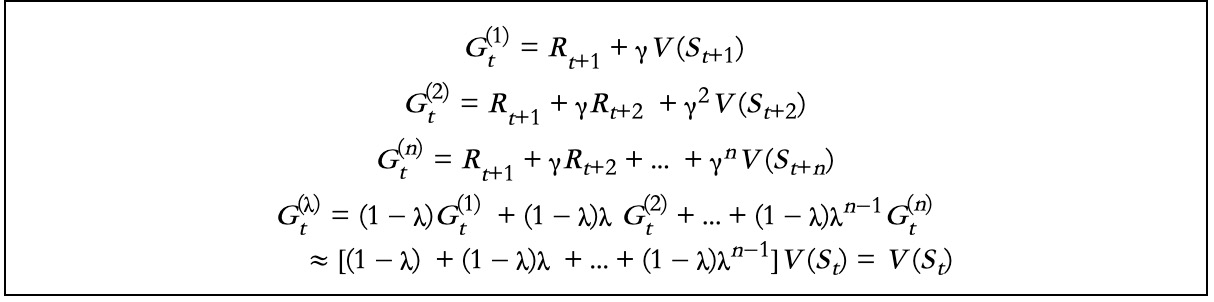
9 Temporal Difference Learning
Solved 1 Table I And Equation 1 Show Idmt Characterist Chegg Com
Use The Projection Formula To Determine The Irredu Chegg Com
Pin On Learn
Aptitude True Discount And Banker S Discount Concepts And Formulas Javatpoint
Understanding Calculation Of Tf Idf By Example By Jerry An Analytics Vidhya Medium
12 Intensity Of Diffracted Light At Any Point On The Screen Is Given By The Formula
How To Convert Ti Integral Time And Td Derivative Time To I And D Parameter In Function Block Parameter For Pid Controller Simulink
Answered Use The Above Formula To Find The Bartleby
Solved Consider The Following Formula Wacce D Et E D Td Chegg Com
Hpdadcshgw6atm
9 Annexure B Ic Rule Set Up
Want Your Own Formula 1 Car Tdf 1 Is Built To Be User Friendly